Are you a pharmacy student looking for a fun and interactive way to practice your math skills? Look no further! Pharmacy math worksheets are a great resource to help you master pharmaceutical calculations in a simple and effective way.
Whether you are struggling with dosage calculations or conversion problems, these worksheets provide a hands-on approach to learning that will boost your confidence and improve your accuracy. With a variety of exercises and scenarios, you can test your knowledge and track your progress along the way.
Pharmacy Math Worksheets
Pharmacy Math Worksheets: A Valuable Study Tool
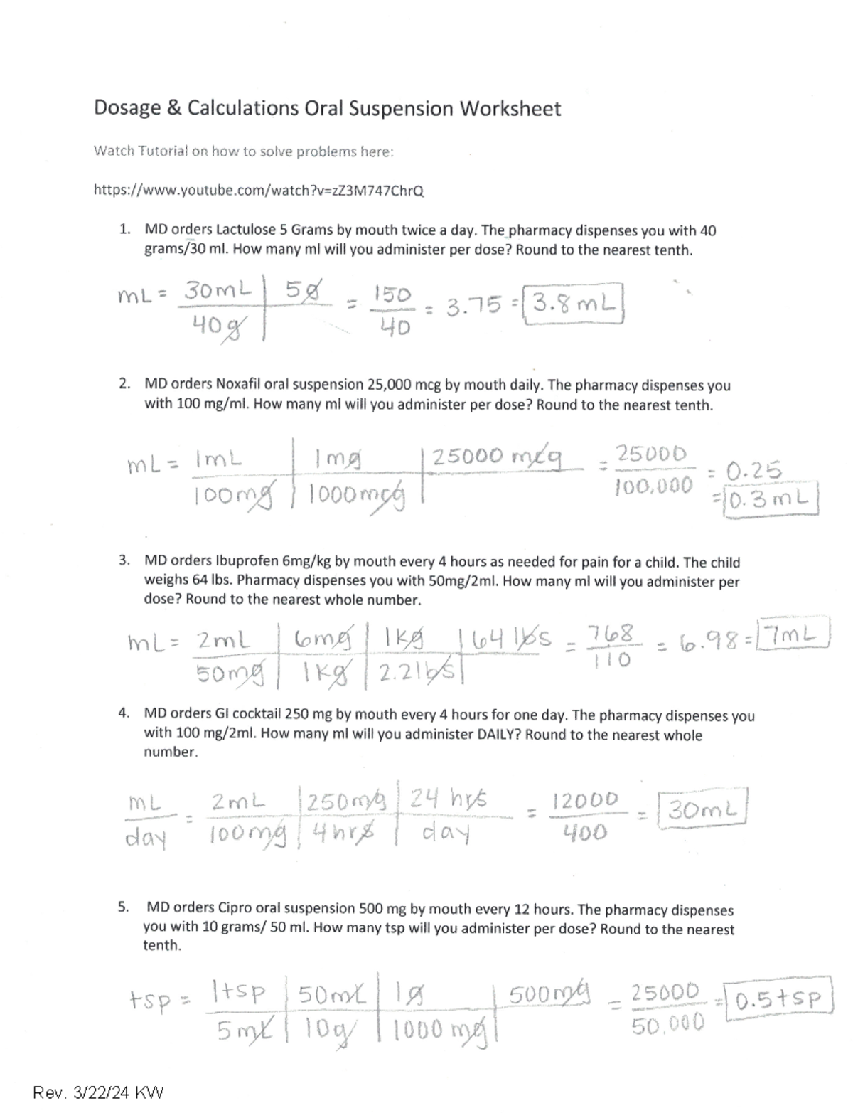
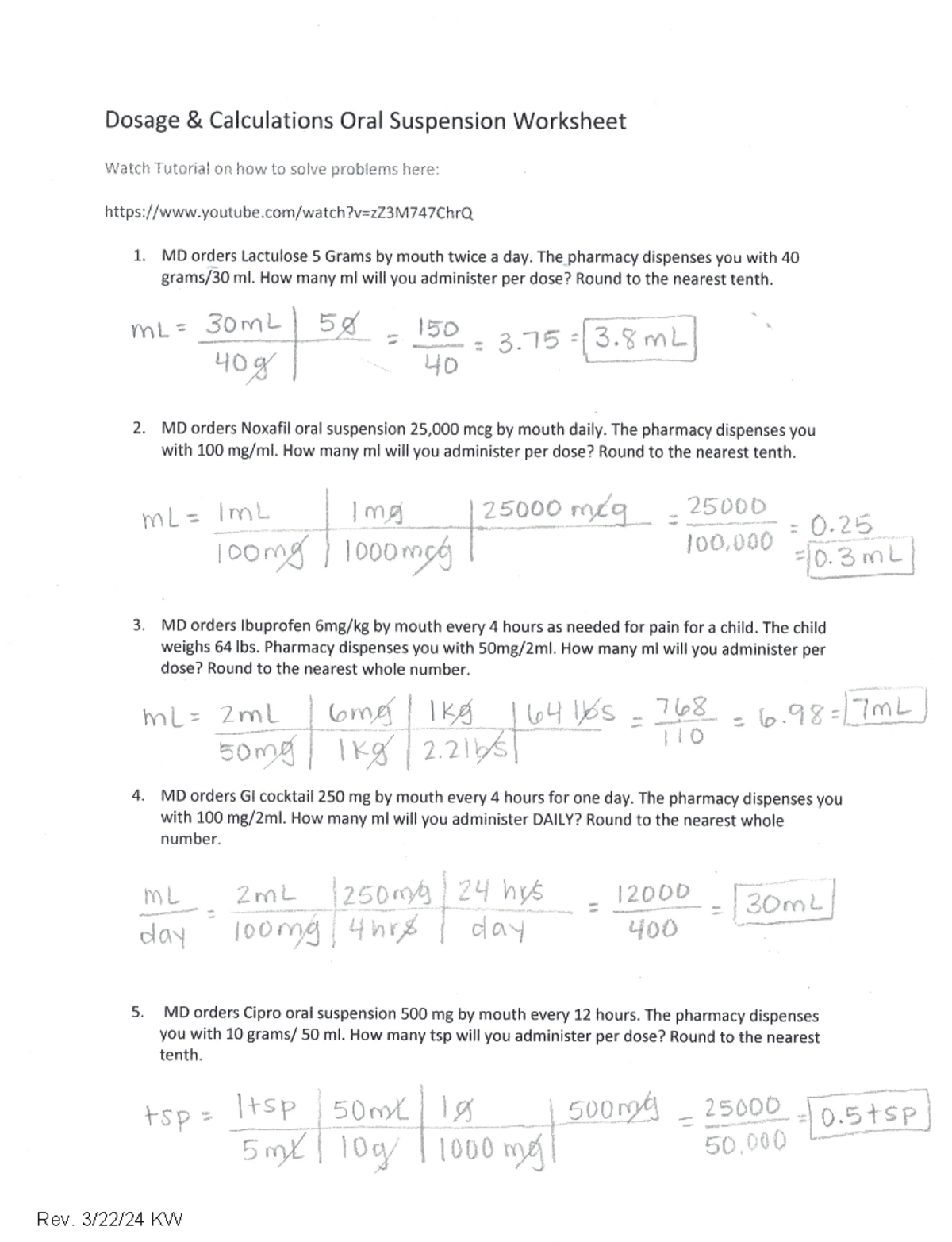
By using pharmacy math worksheets, you can enhance your problem-solving abilities and sharpen your math skills in a pharmacy-specific context. These worksheets cover a range of topics such as drug doses, IV flow rates, and prescription conversions, making them a comprehensive study tool for aspiring pharmacy professionals.
With step-by-step solutions and detailed explanations, pharmacy math worksheets offer a hands-on learning experience that is both engaging and educational. You can practice at your own pace, review your answers, and identify areas for improvement to ensure that you are well-prepared for exams and real-world scenarios.
So, if you want to excel in pharmaceutical calculations and become a proficient pharmacy technician or pharmacist, pharmacy math worksheets are the perfect resource for you. Start practicing today and see how much your math skills can improve with this valuable study tool!
In conclusion, pharmacy math worksheets are a valuable study tool for pharmacy students looking to enhance their math skills in a pharmaceutical context. With a hands-on approach and comprehensive coverage of key topics, these worksheets offer an engaging and effective way to master pharmaceutical calculations and boost your confidence in the field. Try them out and take your math skills to the next level!
11 Med Math Worksheets Free PDF At Worksheeto
Dosage Calculations Practice Worksheet Conversion Practice Calculate The Following Conversions Studocu
Med Math Worksheet Sample Med Math Dosage U0026amp Calculations Worksheet Dosage Calculation Studocu
Quiz U0026 Worksheet Math In Pharmacology Practice Study Worksheets Library
Free Pharmacy Technician Math Worksheet Download Free Pharmacy Technician Math Worksheet Png Images Free Worksheets On Clipart Library




