Are you looking for a special way to show appreciation to the special moms in your … Printable Preschool Mothers Day CardRead more
Adverb Worksheets Free Printables 4th Grade
Are you looking for free printable adverb worksheets for 4th-grade students? You’re in luck! We have … Adverb Worksheets Free Printables 4th GradeRead more
Adverb Worksheets 6th Grade Free
Do you have a 6th grader who needs some extra practice with adverbs? Look no further! … Adverb Worksheets 6th Grade FreeRead more
Printable Valentines Activities For Preschool
Valentine’s Day is just around the corner, and what better way to celebrate than with some … Printable Valentines Activities For PreschoolRead more
Printable Calendar Pieces For Preschool
If you’re a preschool teacher looking for a fun and educational way to decorate your classroom, … Printable Calendar Pieces For PreschoolRead more
Adverb Worksheets 4th Grade Free
Are you looking for free adverb worksheets for 4th-grade students? You’re in luck! Teaching adverbs can … Adverb Worksheets 4th Grade FreeRead more
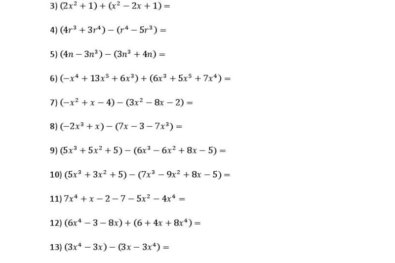
Free Printable Worksheets Adding Polynomials
Are you looking for free printable worksheets to help you practice adding polynomials? Look no further! … Free Printable Worksheets Adding PolynomialsRead more
Advent Wreath Craft Preschool Printable Activities
Are you looking for fun and educational activities to do with your preschooler this holiday season? … Advent Wreath Craft Preschool Printable ActivitiesRead more
Printable Kindergarten Math Worksheet
Looking for fun and educational activities for your kindergartener? Printable kindergarten math worksheets are a great … Printable Kindergarten Math WorksheetRead more